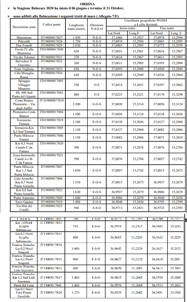
Mare a Siracusa, balneabili oltre 33km di costa da Ortigia alle contrade marinare
Il Comune di Siracusa da il via alla stagione balneare. Promossi 33,4 km di costa, dai Pilicelli a Fontane Bianche passando per Ortigia e tutto il litorale a sud del capoluogo. Come da normativa, si tratta di punti comunque soggetti a monitoraggio periodico circa la qualità delle acque. Per maggiori informazioni, i dati sono riportati su portaleacque.it, del Ministero della Salute.
Qui tutto l’elenco:
(clicca per ingrandire)
Sono invece interdetti ai bagnanti, per ragioni di sicurezza o per ordinanza della Capitaneria di Porto, 22,4 km di costa. La fascia “vietata” più ampia, poco più di 8 km di costa, è all’interno del Porto Grande e scorre dalla fine di Cala Muraglia Rossa (lato Ovest) sino a punta Castelluccio.
Nell’ordinanza del settore ambiente si ricordando anche i 1.000 metri in cui vige il divieto di balneazione per vincolo a parco o ad oasi naturale da Scoglio dell’Elefante a Canalone, all’interno dell’Area marina protetta “Plemmirio” (Zona A).
Non balneabile per “immissioni” il tratto di costa nei pressi della foce del fiume Cassibile, in un raggio di 100 metri. Vietati alla balneazione anche il Porto Grande di Siracusa, ad eccezione di alcuni tratti di litorale nei quali la balneazione è consentita fino a 50 metri dalla battigia; il Porto Piccolo (Marmoreo) e la rada di Santa Panagia.
Altri tratti vietati alla balneazione per ragioni di sicurezza:
(Clicca per ingrandire)















